To use all functions of this page, please activate cookies in your browser.
my.chemeurope.com
With an accout for my.chemeurope.com you can always see everything at a glance – and you can configure your own website and individual newsletter.
- My watch list
- My saved searches
- My saved topics
- My newsletter
| ActinometerActinometers are instruments used to measure the heating power of radiation. They are used in meteorology to measure solar radiation as pyrheliometers. Product highlightAn actinometer is a chemical system or physical device which determines the number of photons in a beam integrally or per unit time. This name is commonly applied to devices used in the ultraviolet and visible wavelength ranges. For example, solutions of iron(III) oxalate (e.g. potassium ferrioxalate) can be used as a chemical actinometer, while bolometers, thermopiles, and photodiodes are physical devices giving a reading that can be correlated to the number of photons detected. 
 Chemical ActinometryChemical actinometry involves measuring radiant flux via the yield from a chemical reaction. It requires a chemical with a known quantum yield and easily analyzed reaction products. Choosing an actinometerPotassium ferrioxalate is commonly used, as it is simple to use and sensitive over a wide range of relevant wavelengths (250 nm to 700 nm). Other actinometers include malachite green leucocyanides, vanadium(V)-iron(III) oxalate and monochloroacetic acid, however all of these undergo dark reactions, that is, they react in the absence of light. This is undesirable since it will have to be corrected for. Organic actinometers like butyrophenone or piperylene are analysed by gas chromatography. Other actinometers are more specific in terms of the range of wavelengths at which quantum yields have been determined. Reinecke’s salt K[Cr(NH3)2(NCS)4] reacts in the near-UV region although it is thermally unstable [1] [2] [3]. Uranyl oxalate has been used historically but is very toxic and cumbersome to analyze. Recent investigations into nitrate photolysis [4] [5] have used 2-nitrobenzaldehyde and benzoic acid as a radical scavenger for hydroxyl radicals produced in the photolysis of hydrogen peroxide and sodium nitrate. However, they originally used ferrioxalate actinometry to calibrate the quantum yields for the hydrogen peroxide photolysis. Radical scavengers proved a viable method of measuring production of hydroxyl radical. Using potassium ferrioxalatePotassium ferrioxalate undergoes photoreduction from K3[Fe(C2O4)3] to Fe2 + . The complete redox reaction is: 
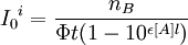
 By measuring the concentration of iron(II) the radiant flux into a photochemical cell can be calculated via where Φ is the quantum yield (tabulated) for product B, t is time, [A] is the concentration of A and nB is the number of molecules of B formed [1] The concentration of iron(II) is easily analyzed via UV/Vis spectroscopy. The iron(II) forms a bright orange complex with phenanthroline which can be quantitatively measured. A reference calibration can be performed with iron(II) sulfate/phenanthroline solutions. 
 | 
| This article is licensed under the GNU Free Documentation License. It uses material from the Wikipedia article "Actinometer". A list of authors is available in Wikipedia. | 
- PerkinElmer Adds Chinese-Language Interface to Gas Chromatography Instruments
- Dipole
- Stretchable and self-healable lithium-ion battery - Promising for use in stretchable and wearable electronics
- Synergistic sites over the ZnxZrO catalyst for targeted cleavage of the C–H bonds of ethane in tandem with CO2 activation

 
                                             
                                        


![{I_0}^i = \frac{n_B}{\Phi t (1-10^{\epsilon [A] l})}](images/math/2/f/0/2f0208633d016bc33167c282d0570db0.png) 
				
 
                                      






 
    